Solutions/Griffiths 기초전자기학

전자기학 Griffiths - Introduction to Electrodynamics Solutions | Ch.6

도엔 2025. 3. 8. 16:24
728x90

Griffiths - Introduction to Electrodynamics 3ed Solutions
그리피스 기초전자기학 제3판 솔루션
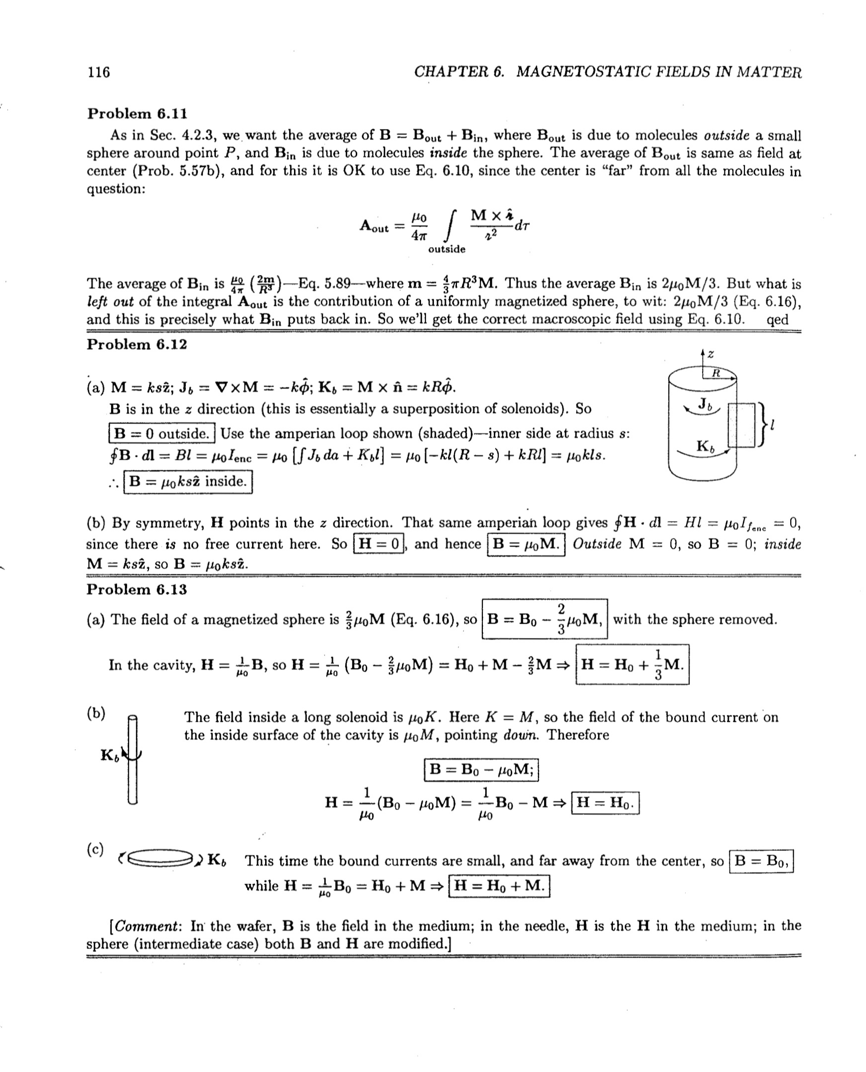
Ch.6

 

Griffiths ch6.pdf
0.18MB

 

 

 

728x90
반응형