728x90
Razavi - Fundamentals of Microelectronics
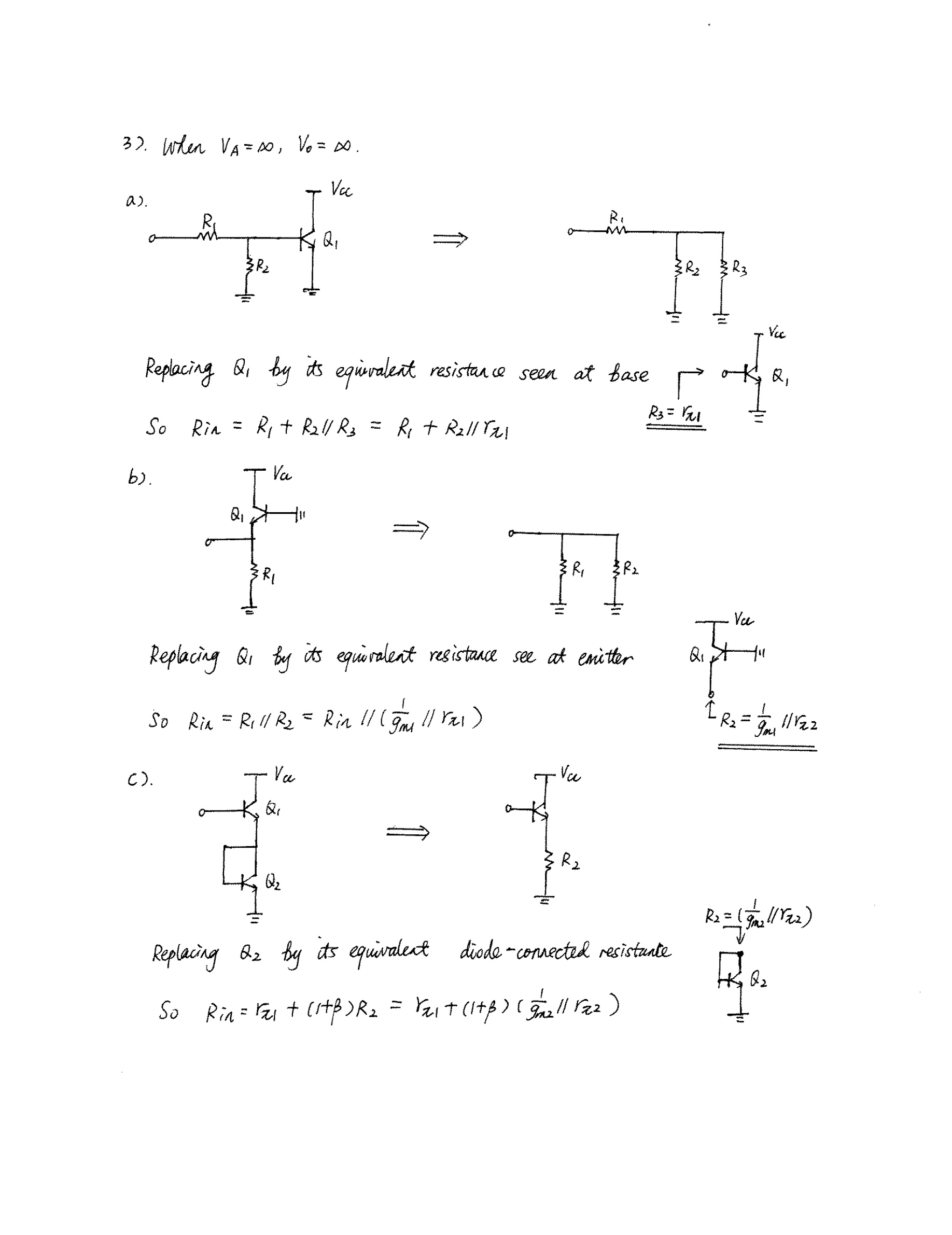
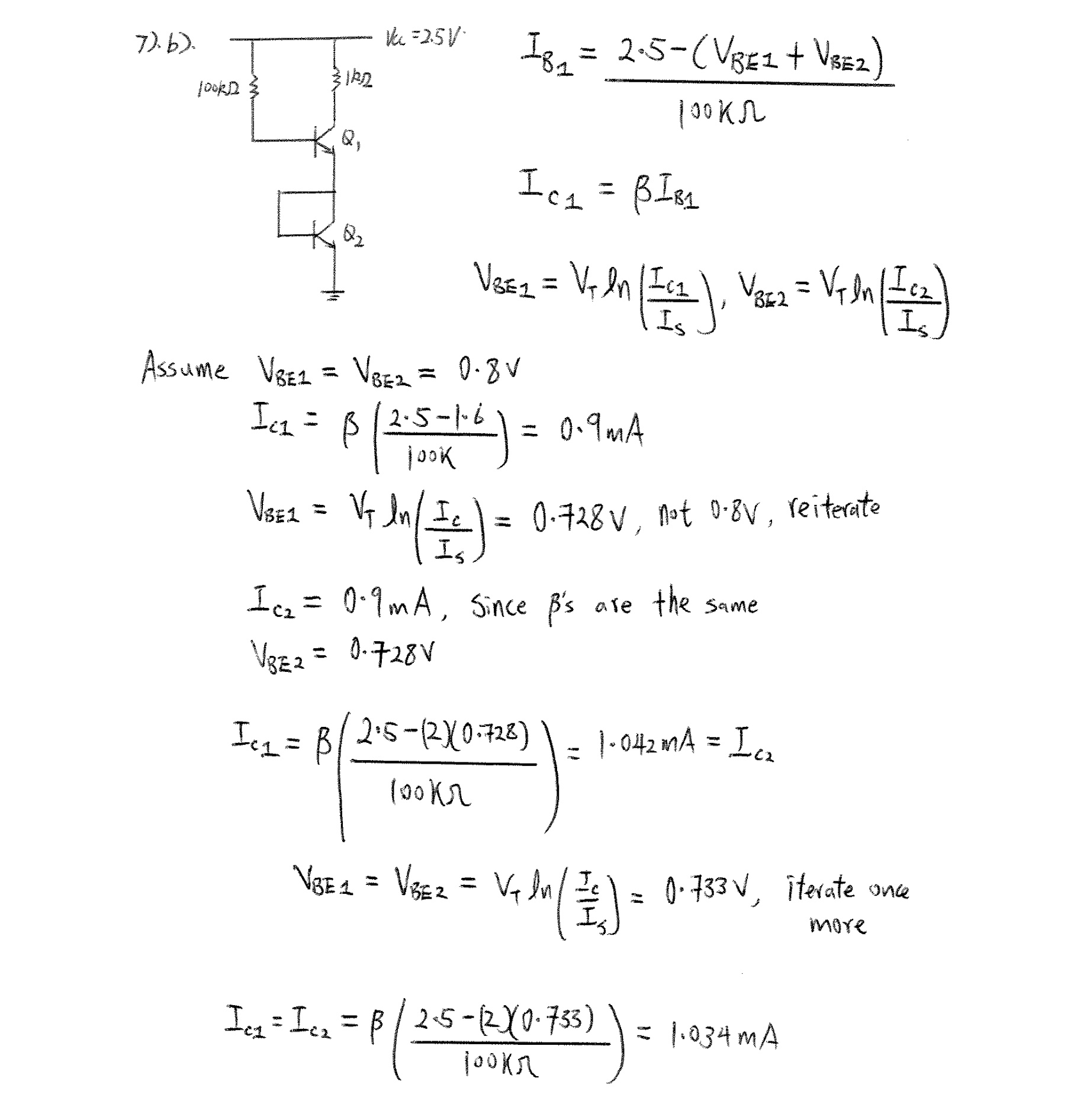
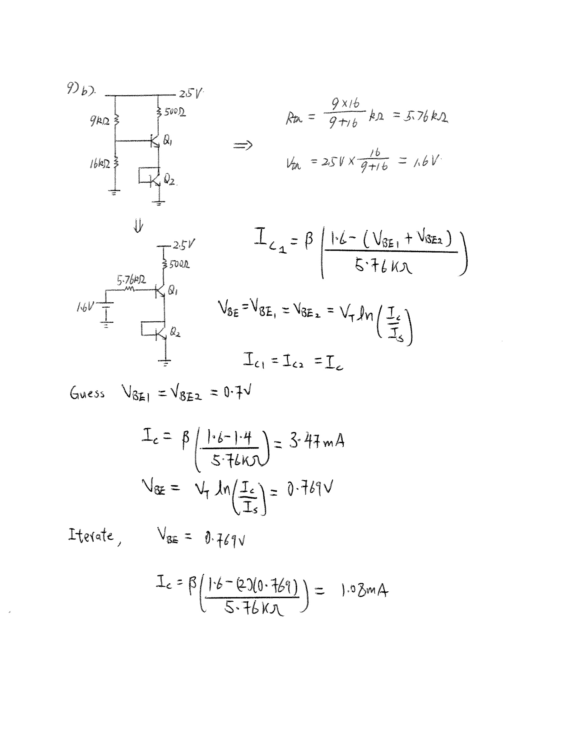
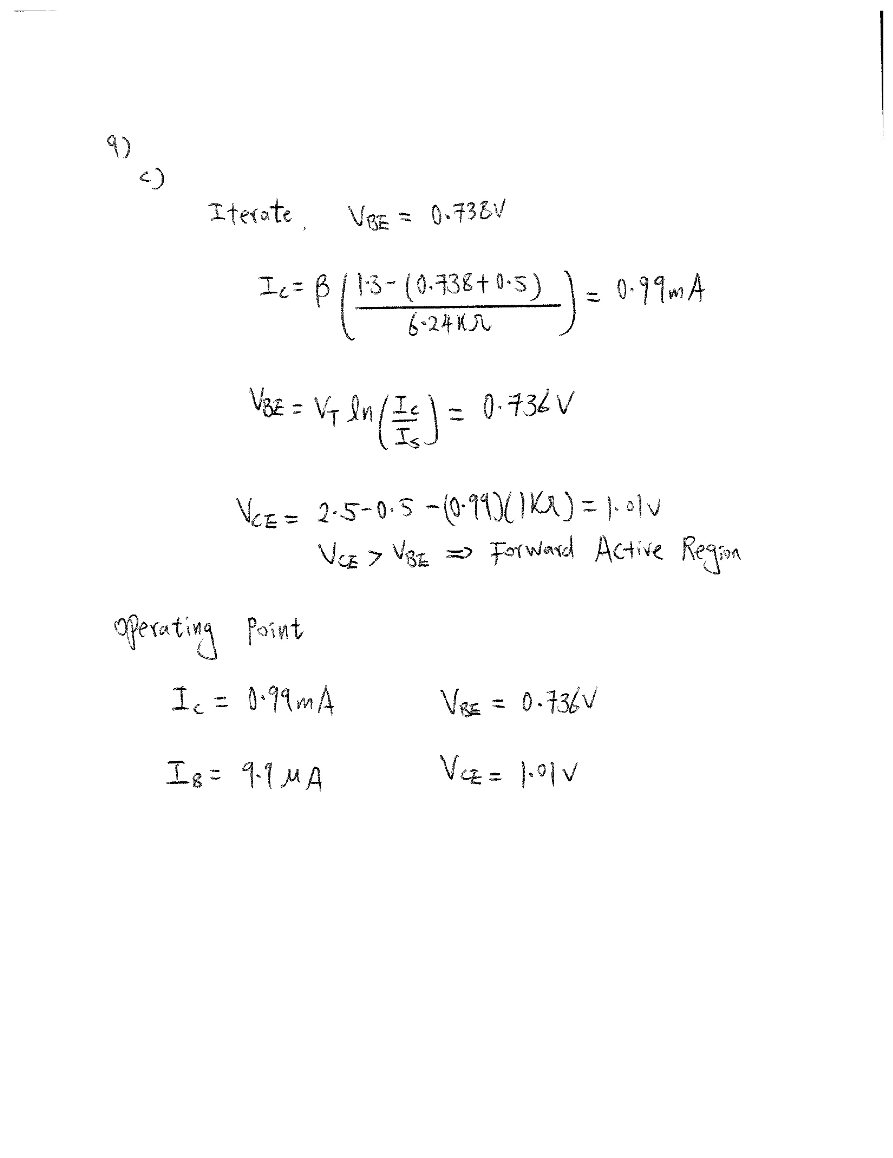
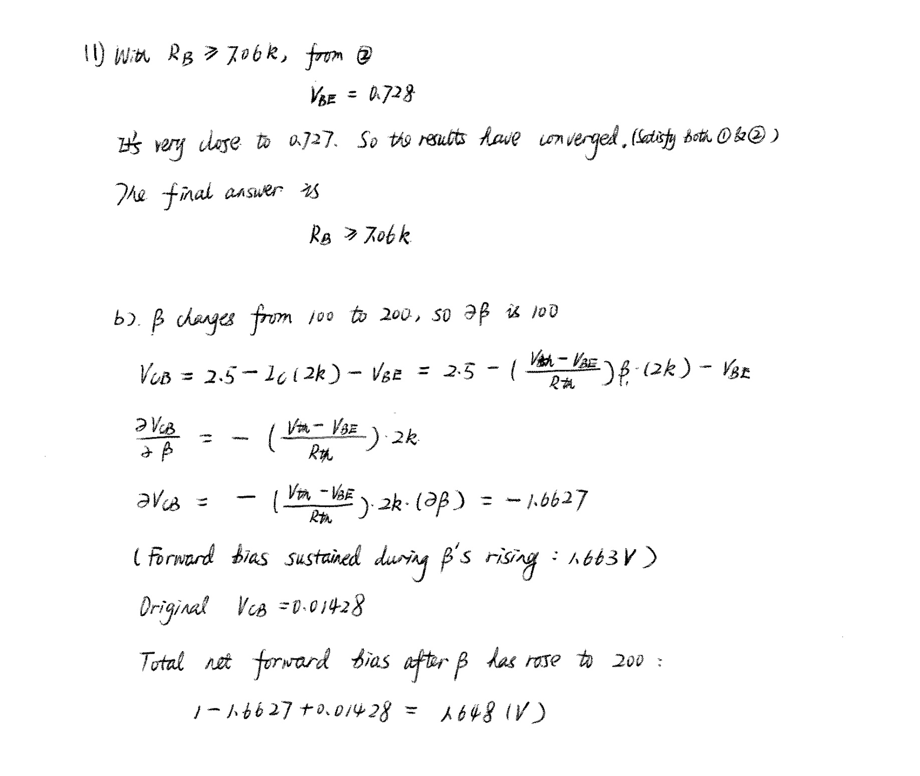
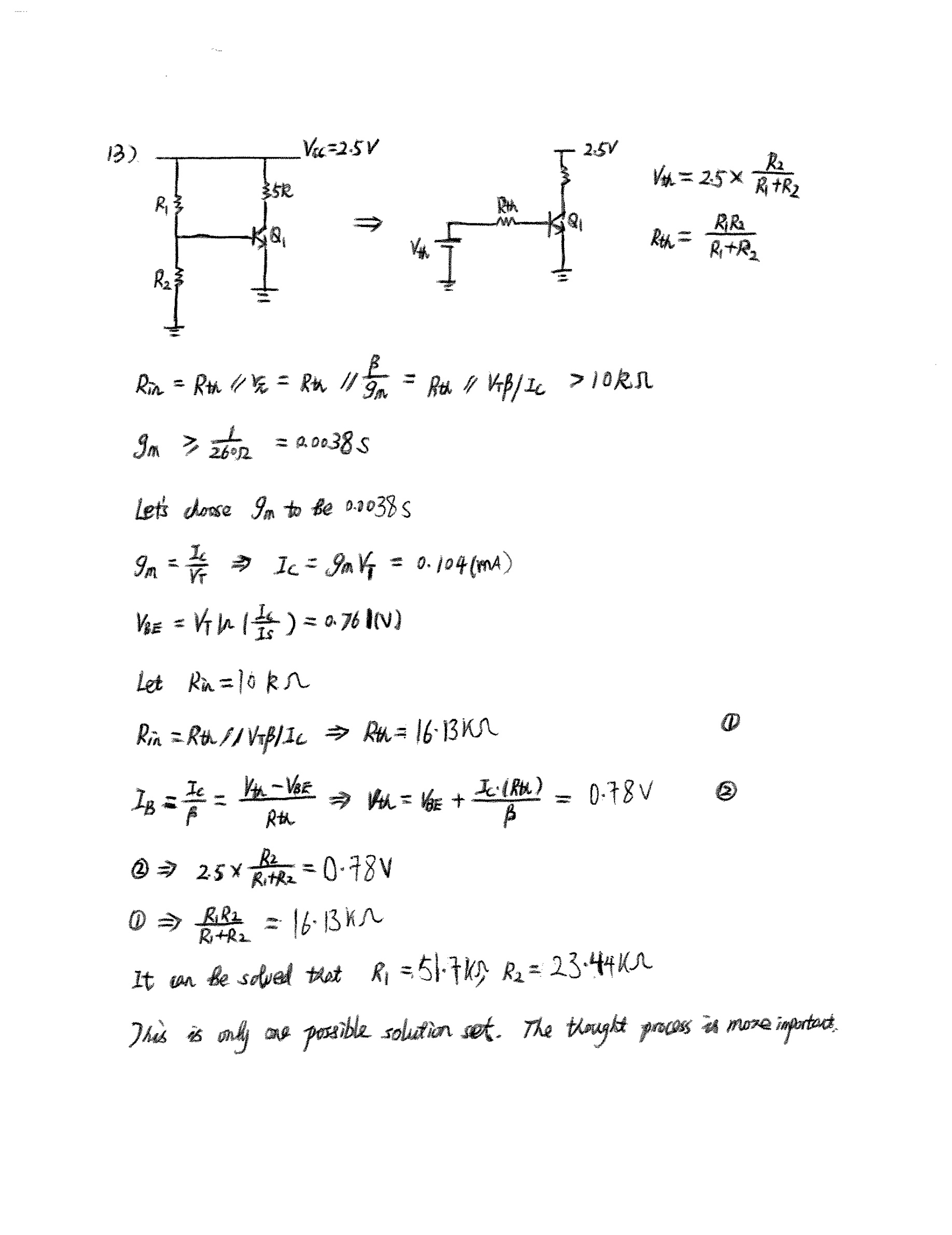
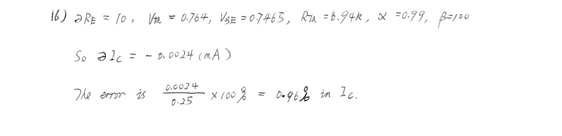
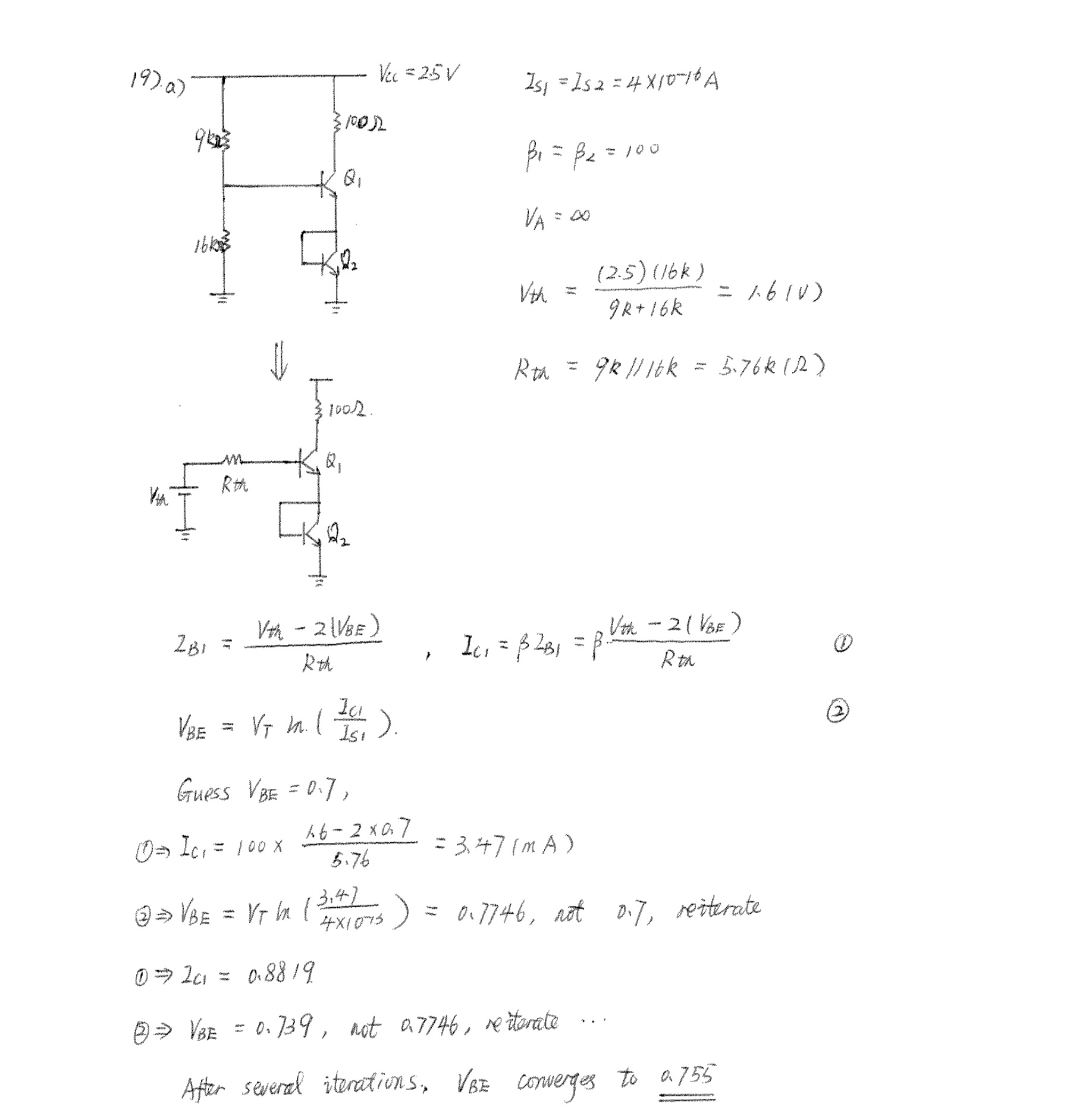
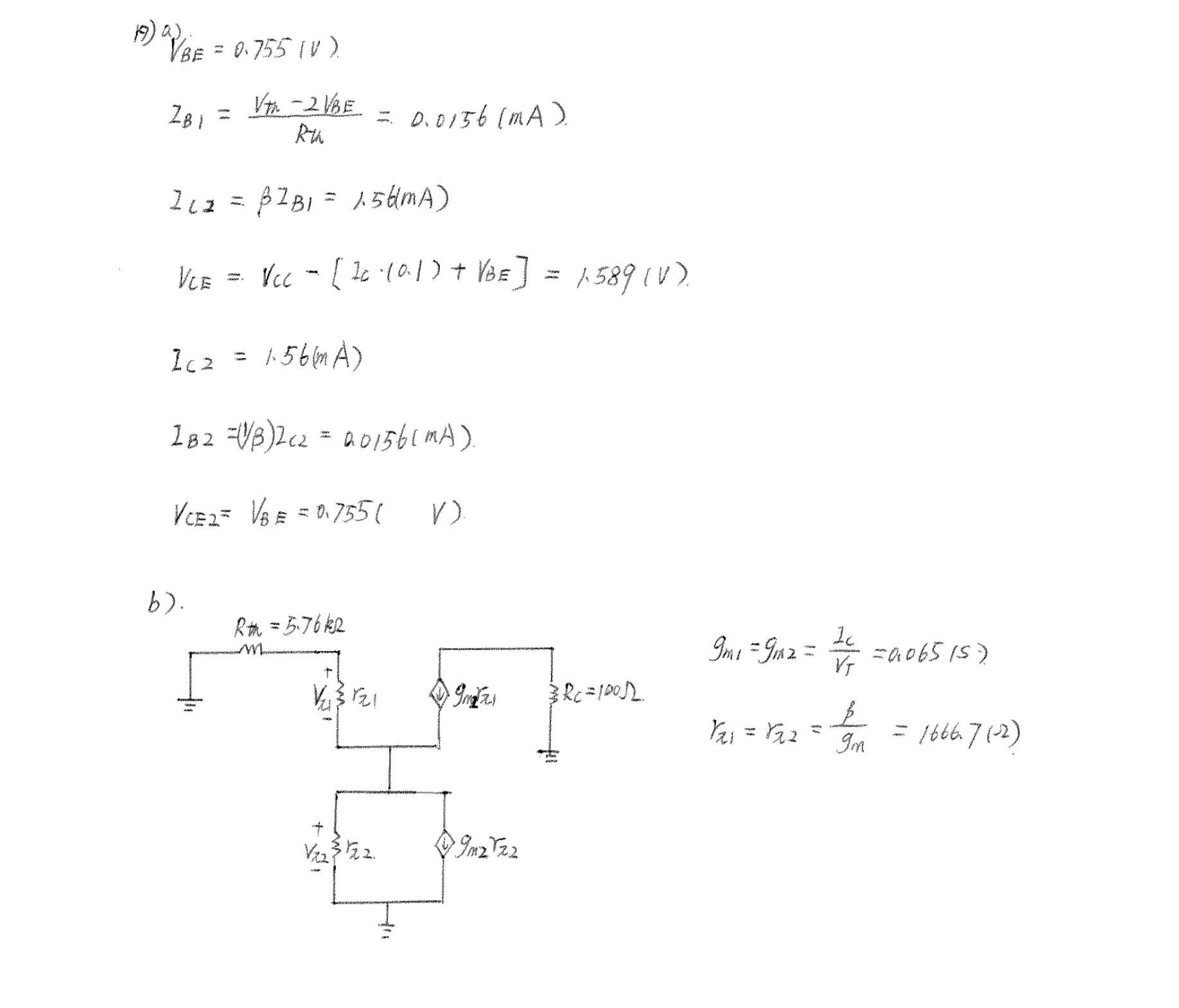
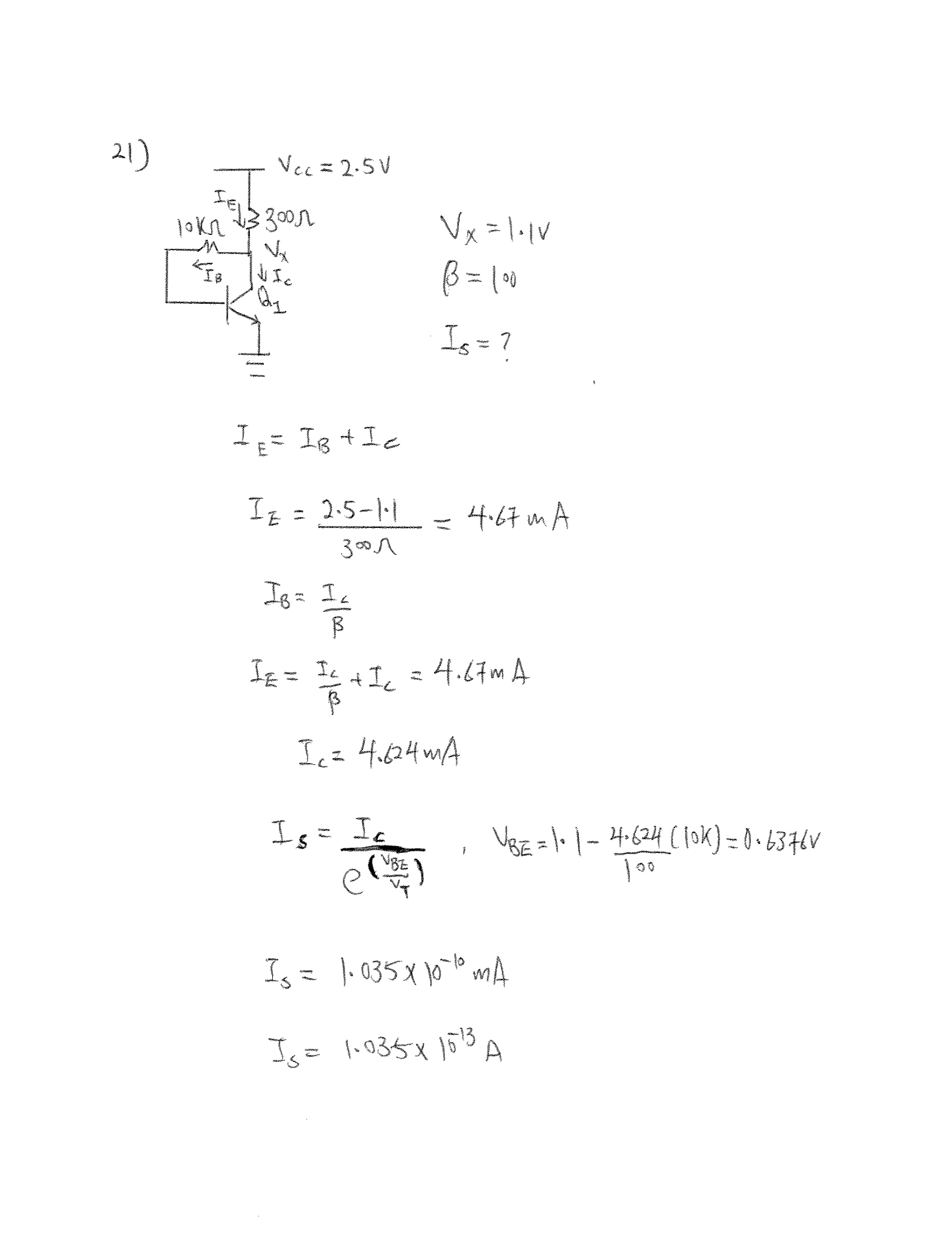
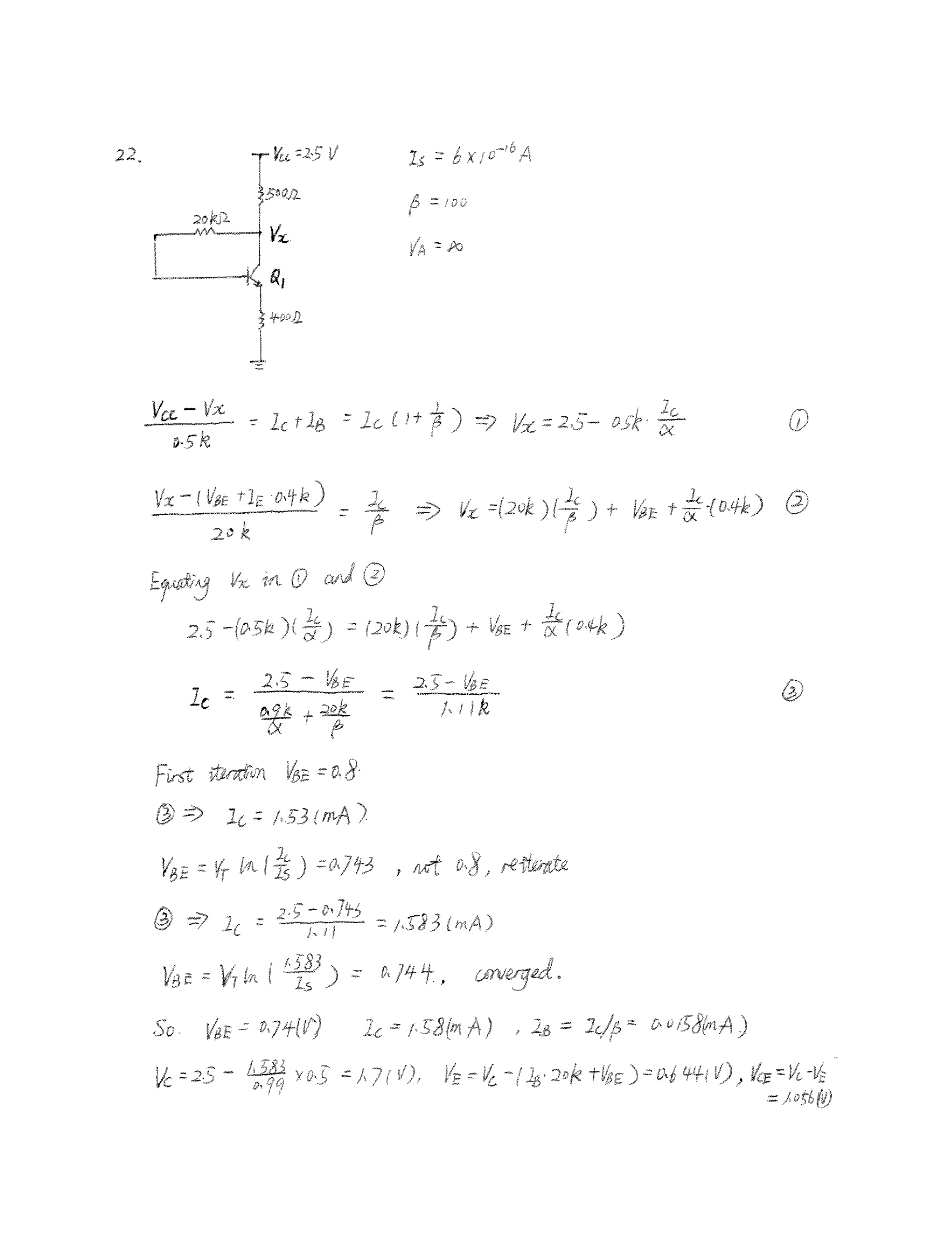
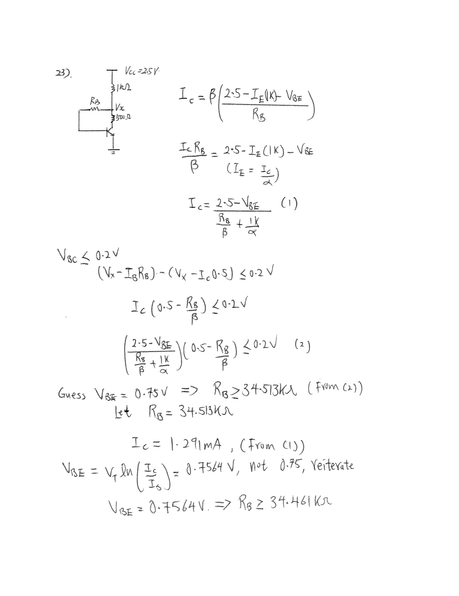
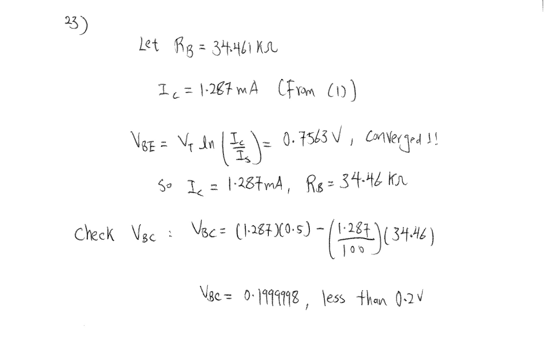
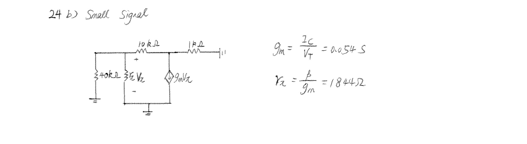
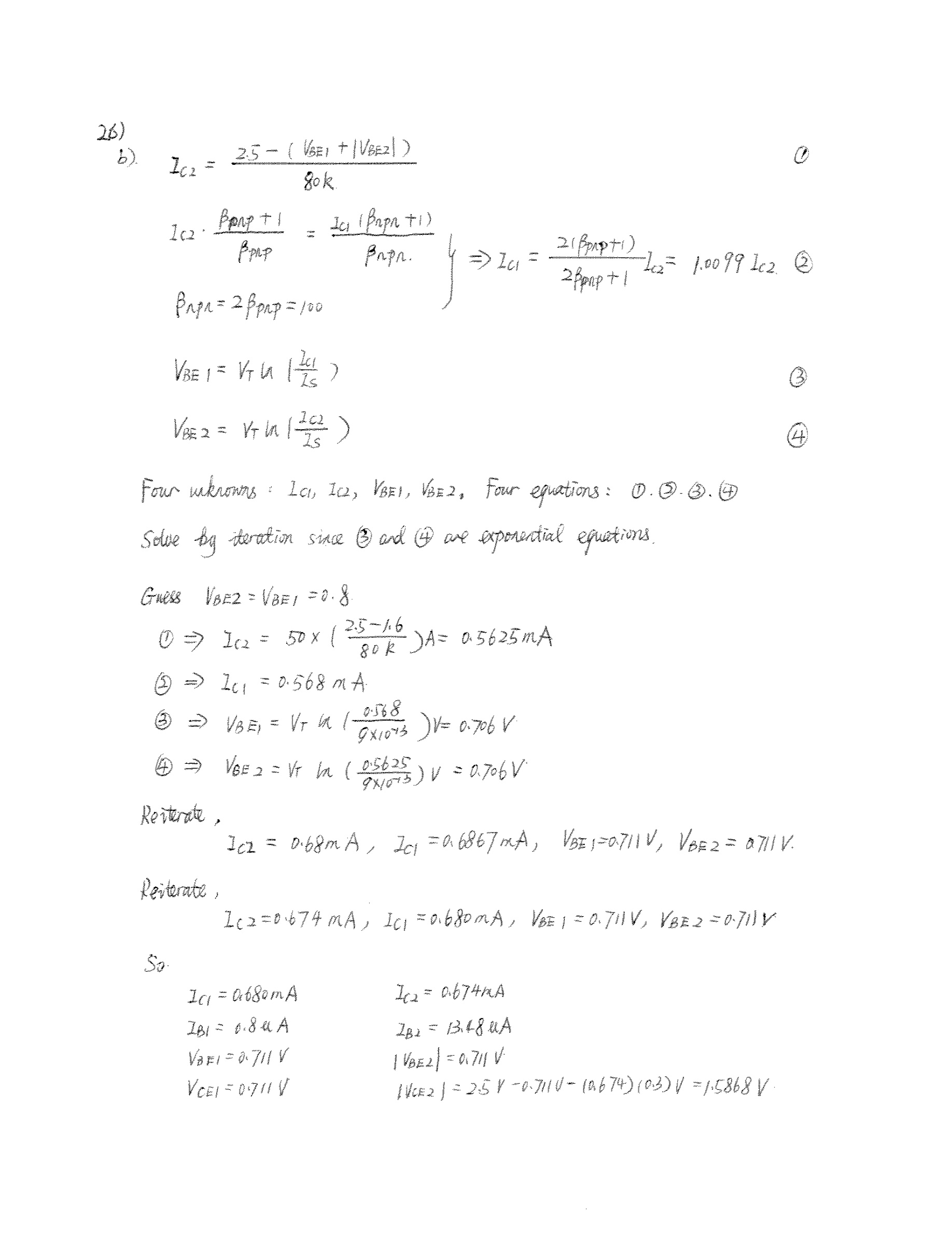
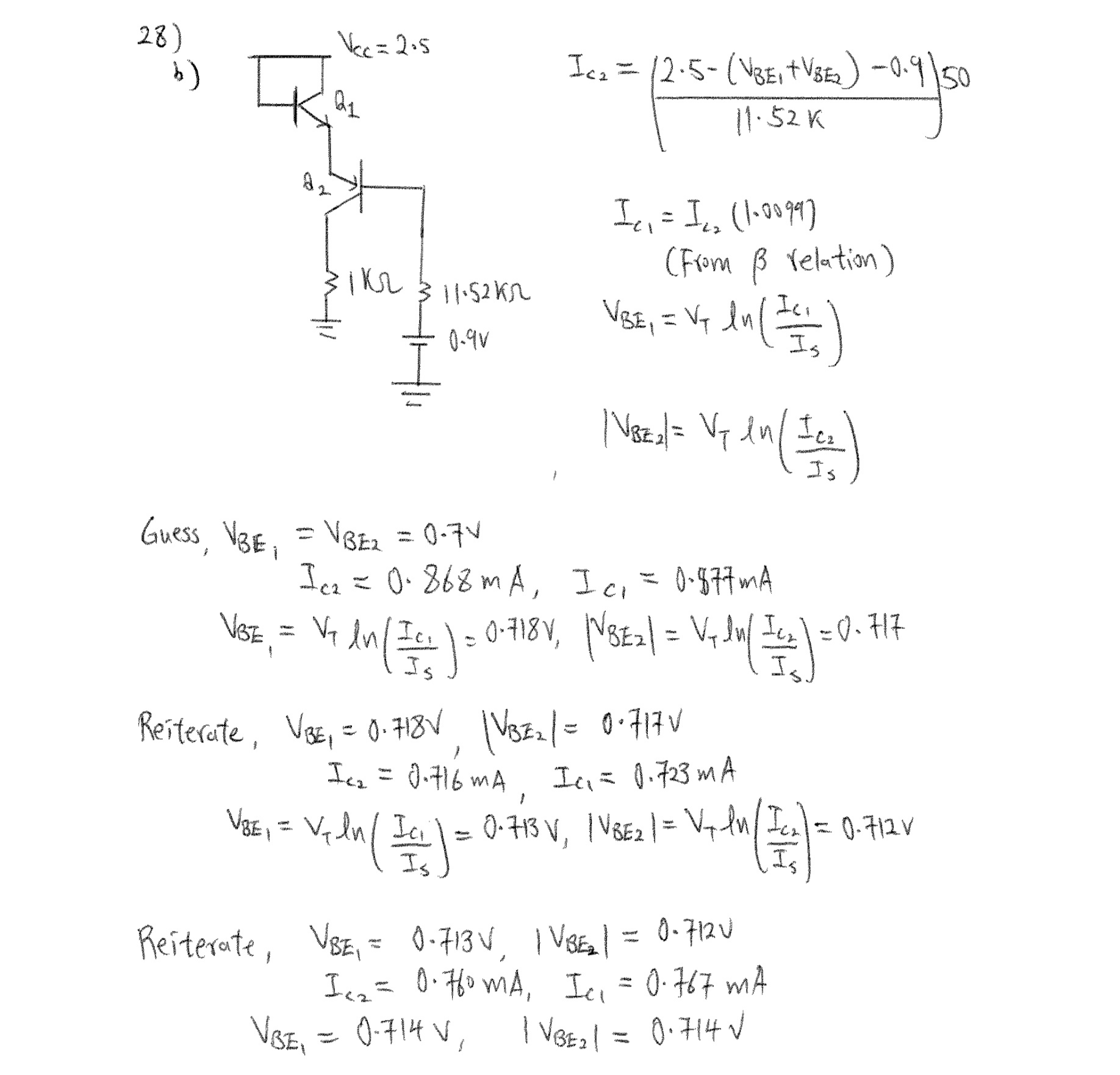
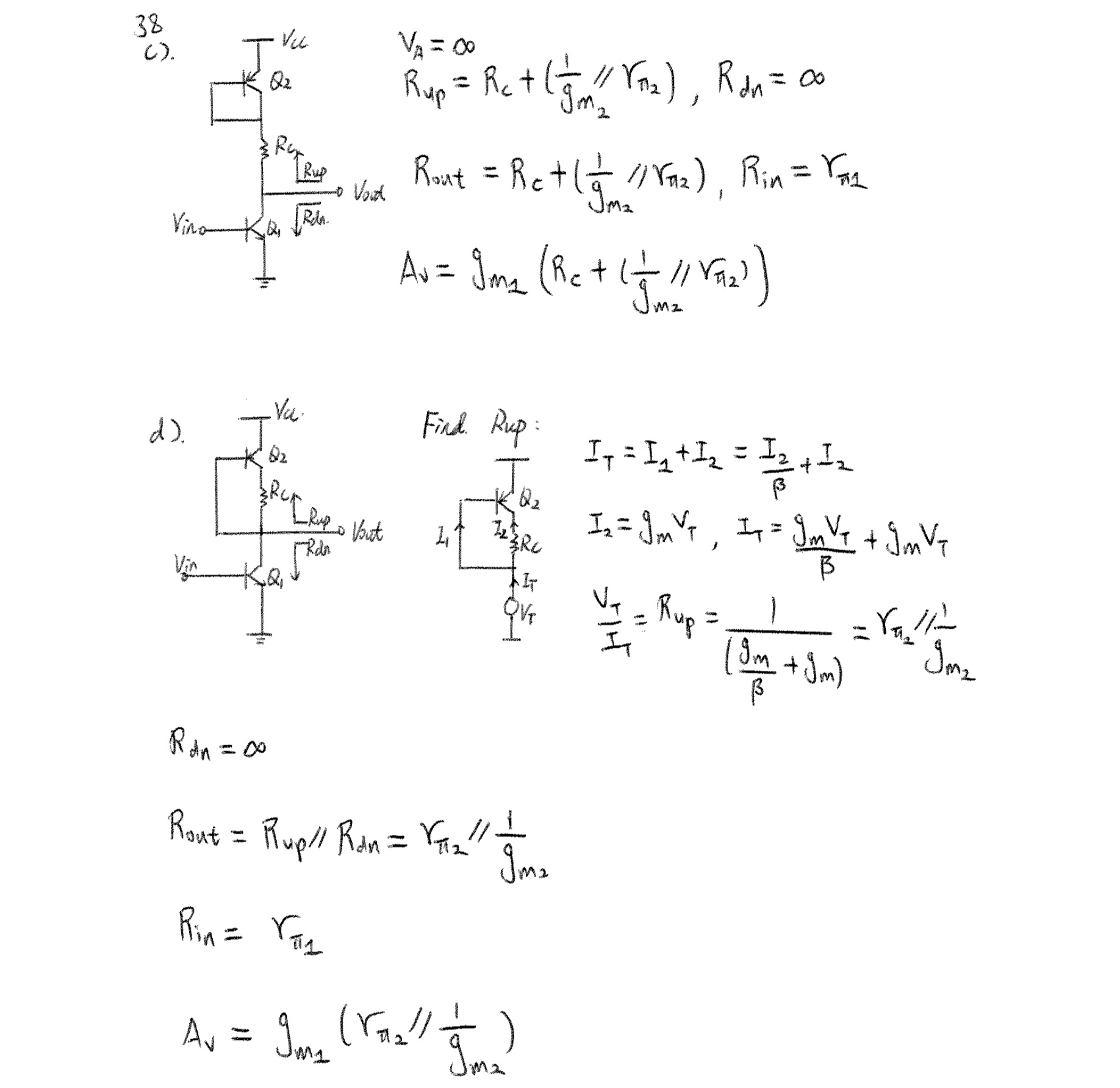
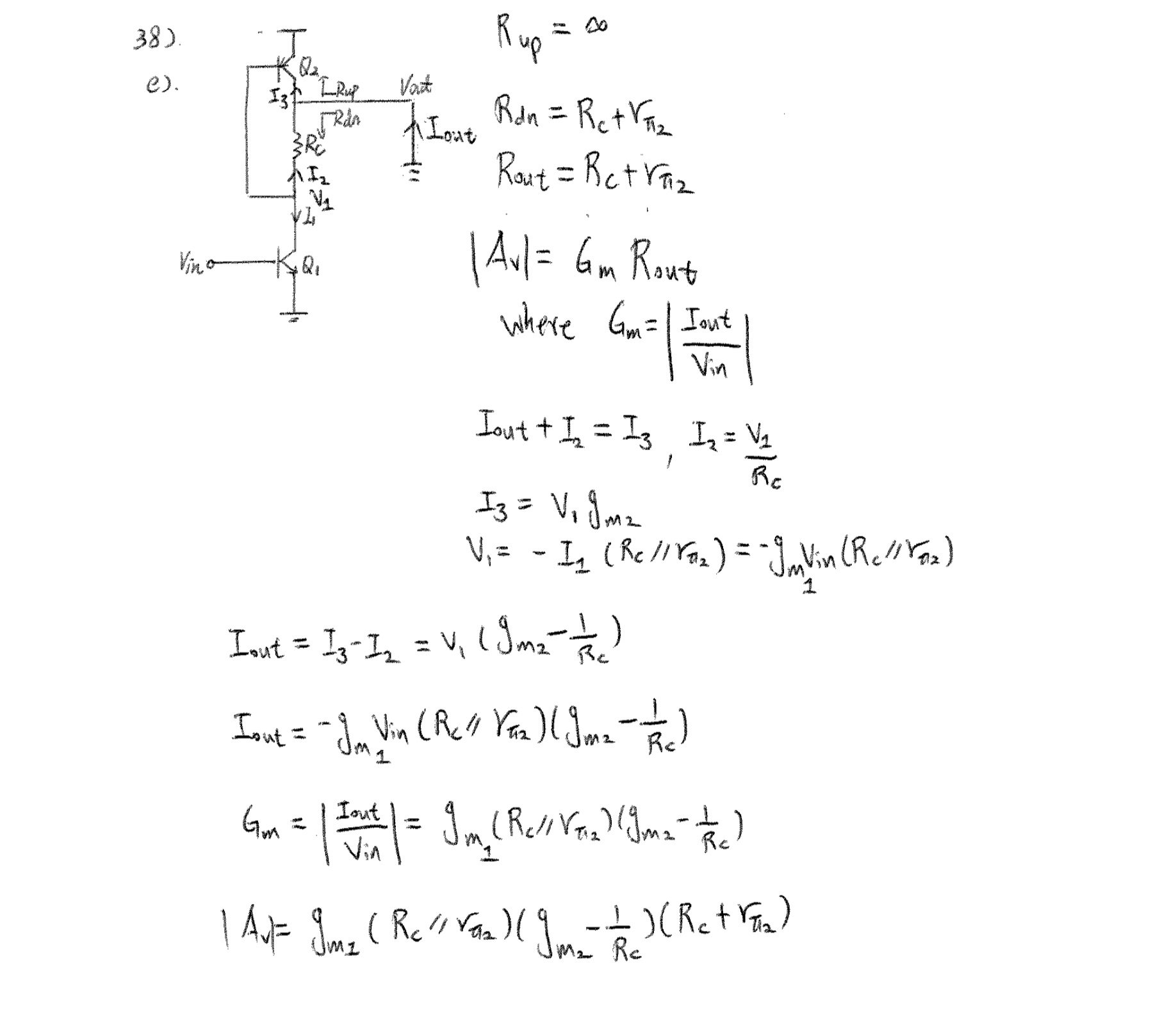
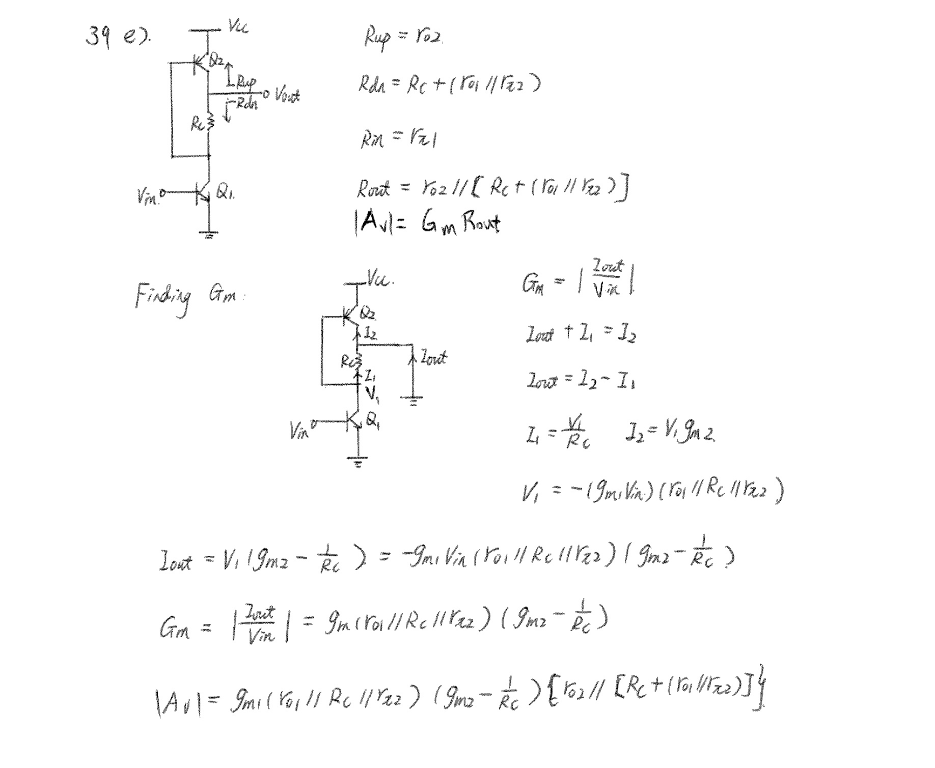
Ch.5 1~39
나 보기 편하려고 사진 올리는건데 100장이 넘어가네..




































































728x90
반응형
'Solutions > Razavi 전자회로' 카테고리의 다른 글
| Razavi - Fundamentals of Microelectronics Solutions | Ch.6 (0) | 2025.02.28 |
|---|---|
| Razavi 라자비 Fundamentals of Microelectronics Solutions 전자회로 솔루션 Ch.5 40~90 (0) | 2025.02.26 |
| Razavi - Fundamentals of Microelectronics Solutions | Ch.4 (0) | 2025.02.26 |
| Razavi - Fundamentals of Microelectronics Solutions | Ch.3 (0) | 2025.02.26 |
| Razavi - Fundamentals of Microelectronics Solutions | Ch.2 (0) | 2025.02.26 |