728x90
Razavi - Fundamentals of Microelectronics Solutions
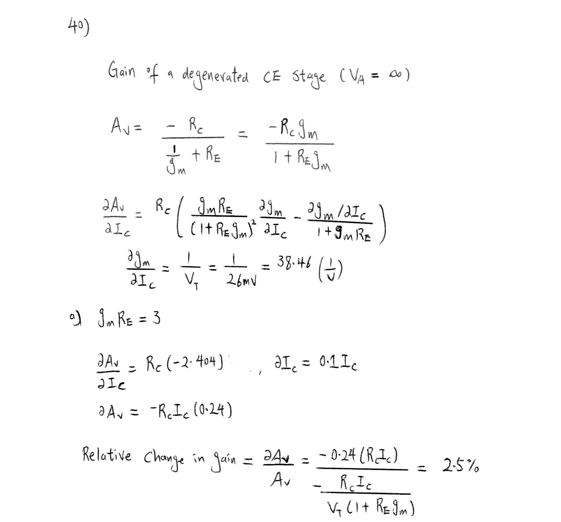
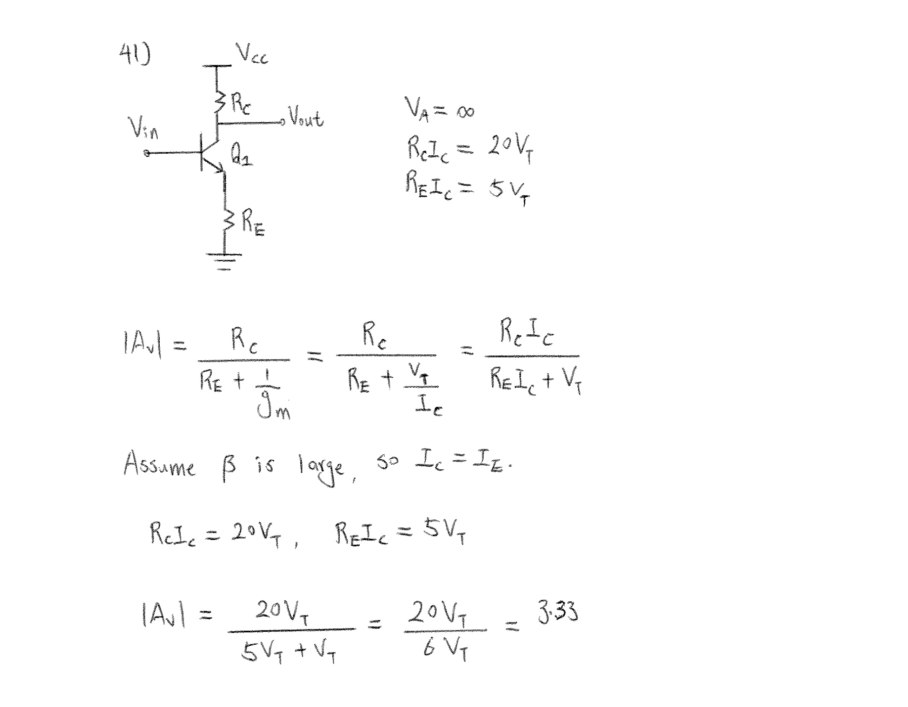
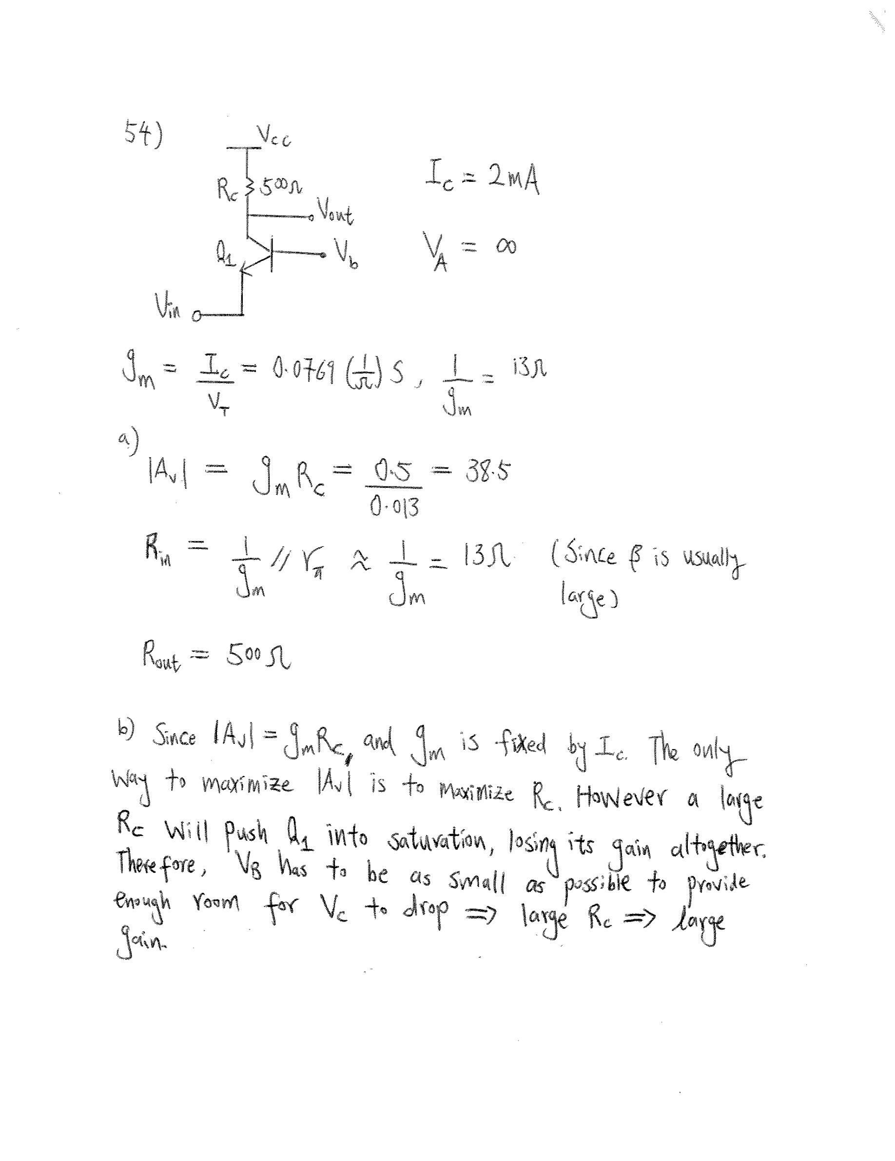
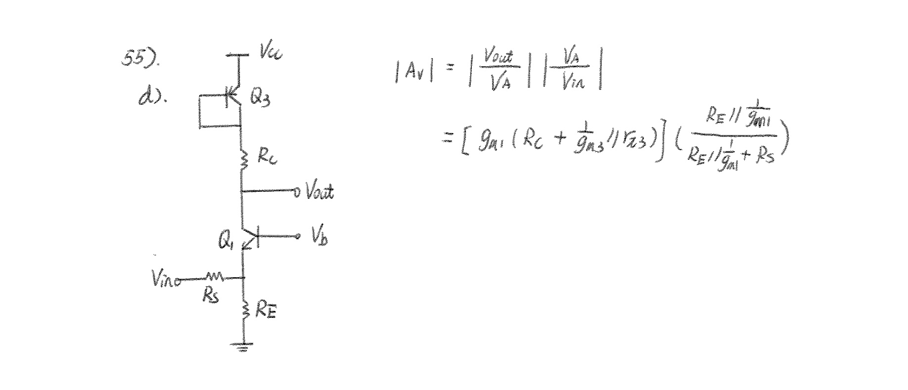
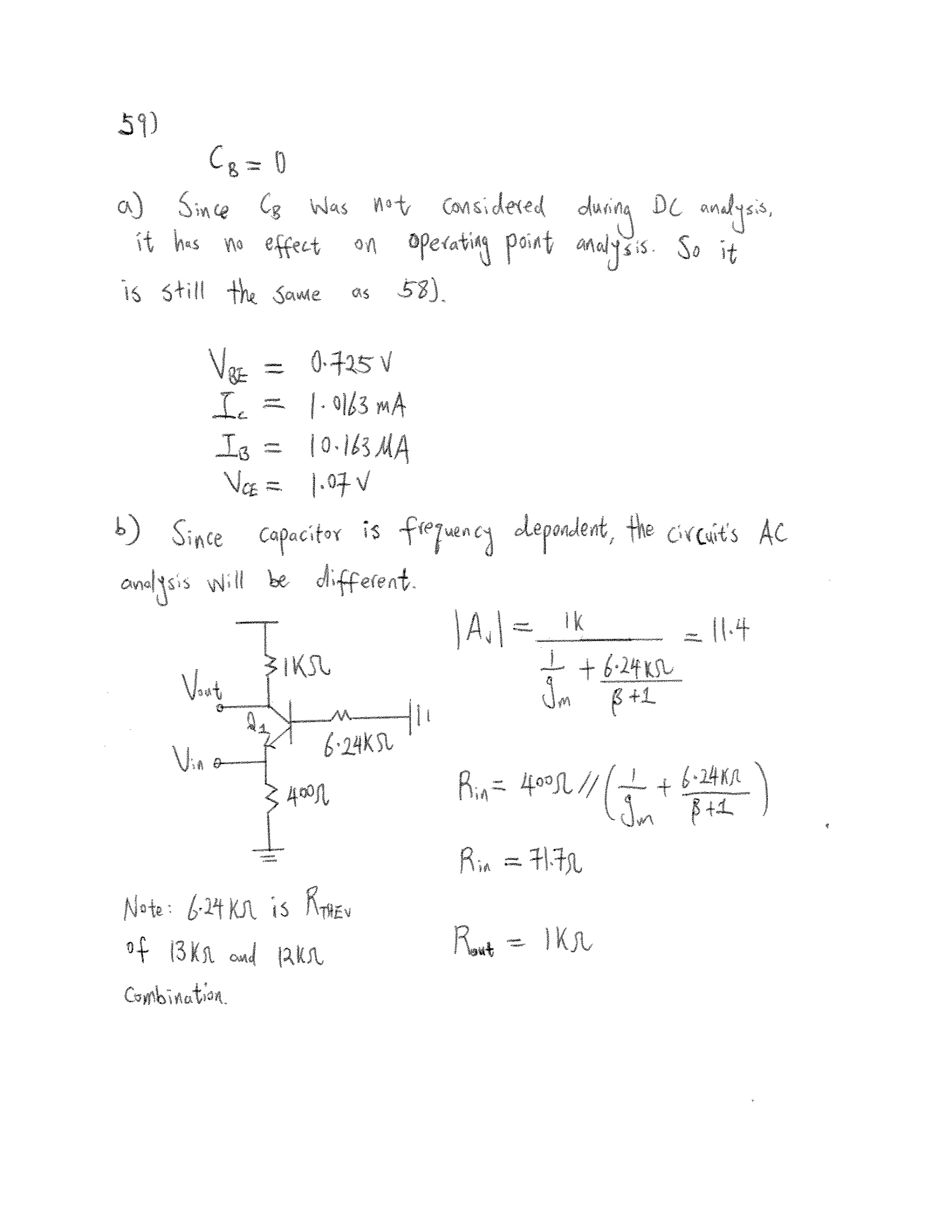
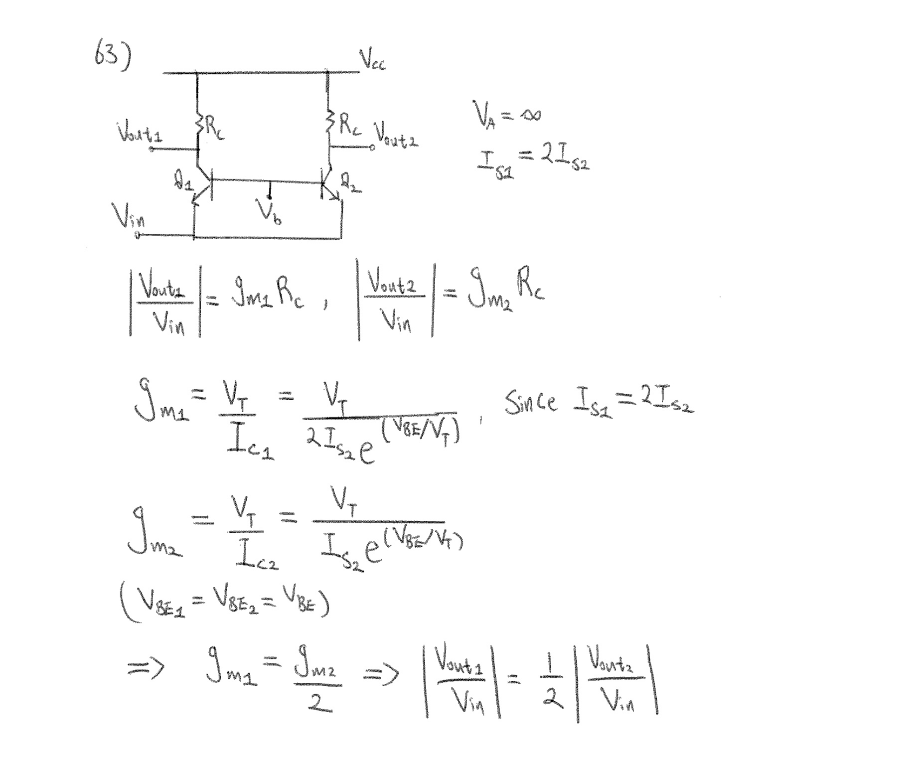
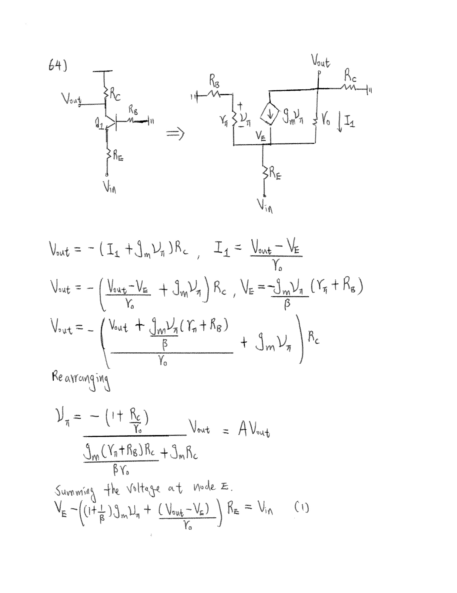
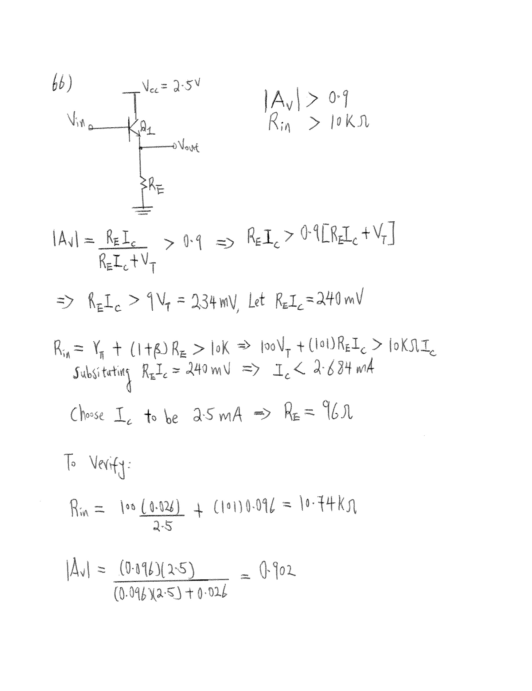
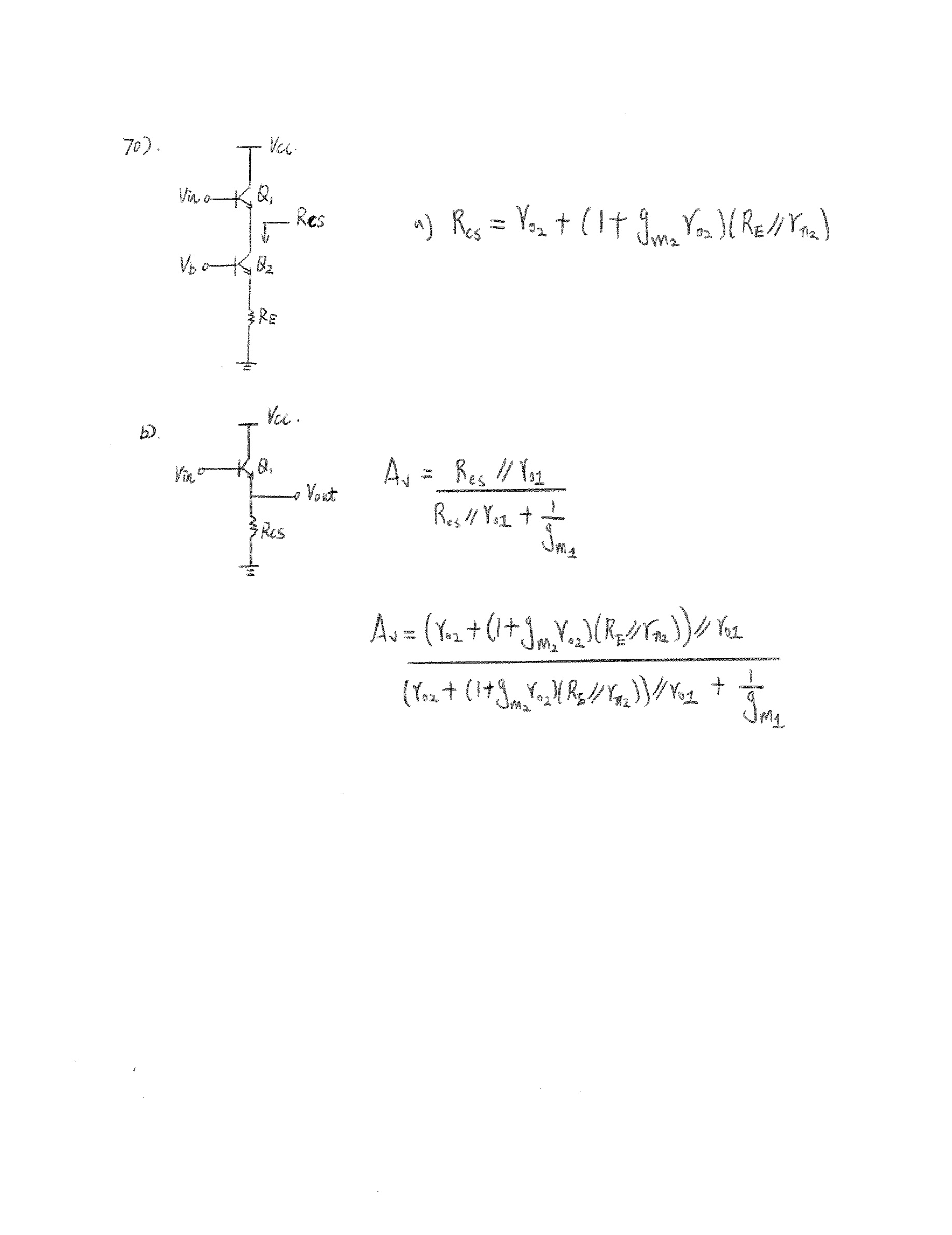
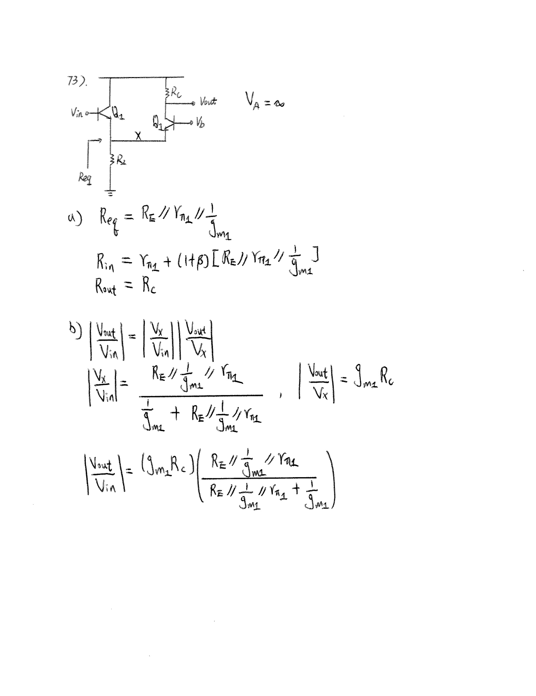
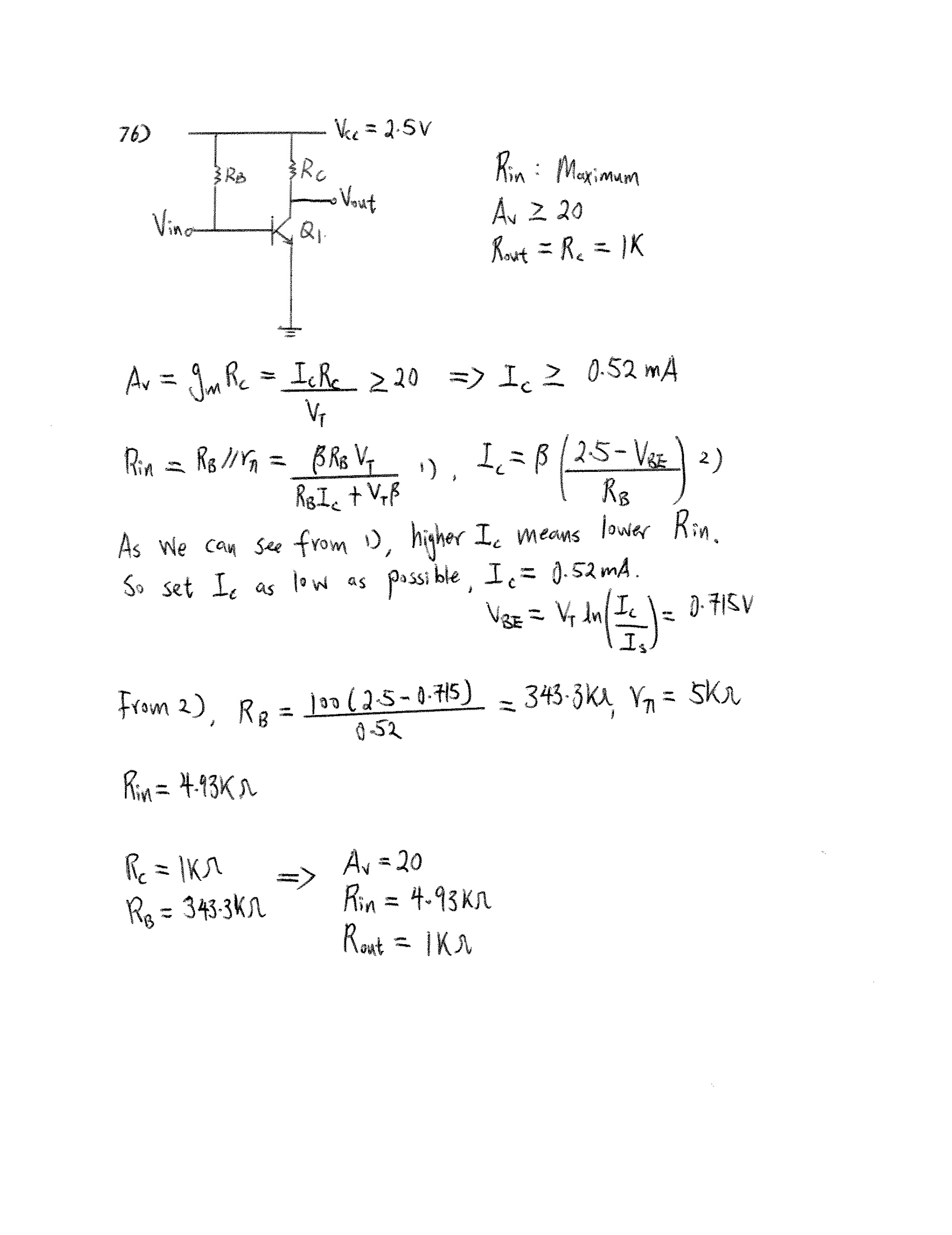
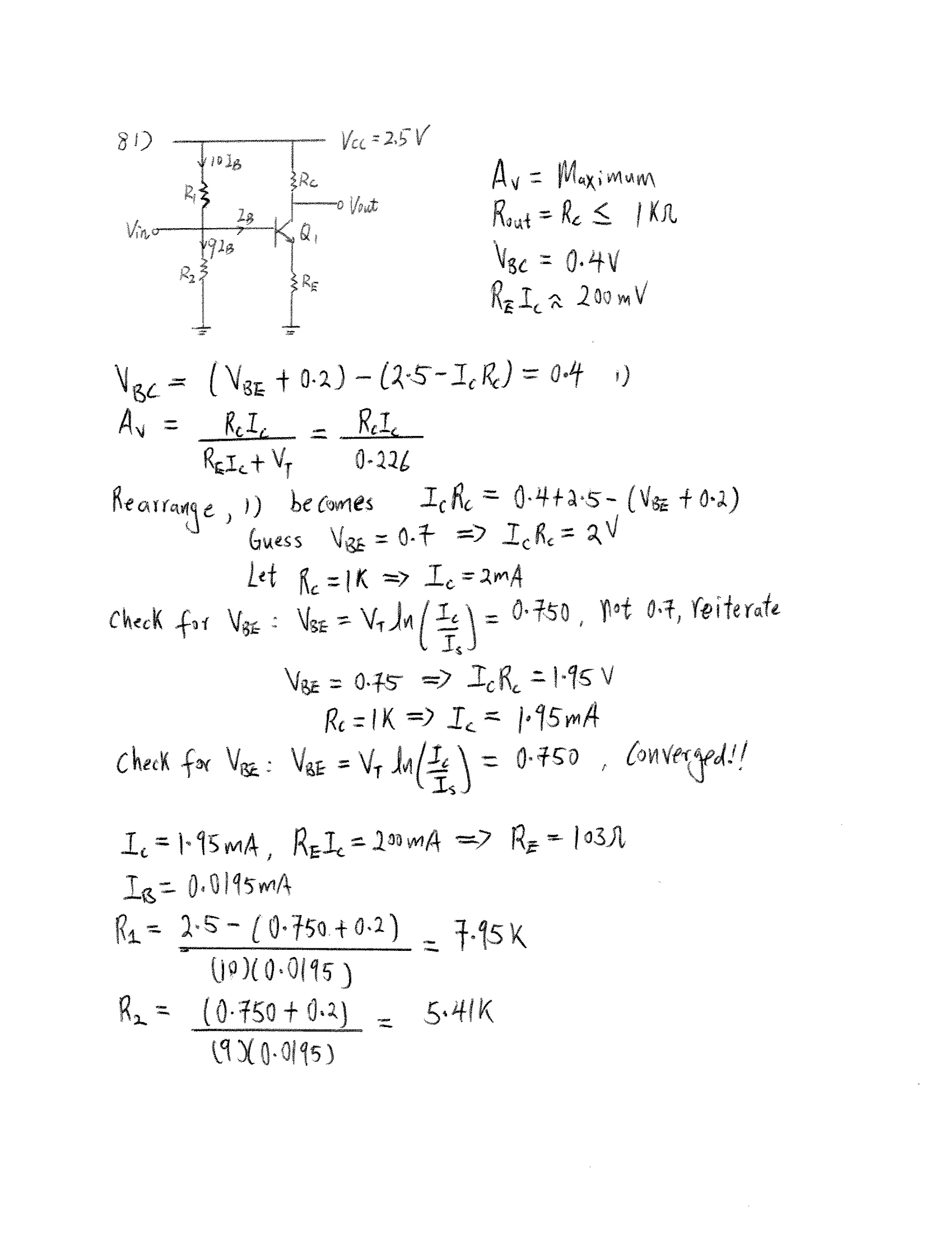
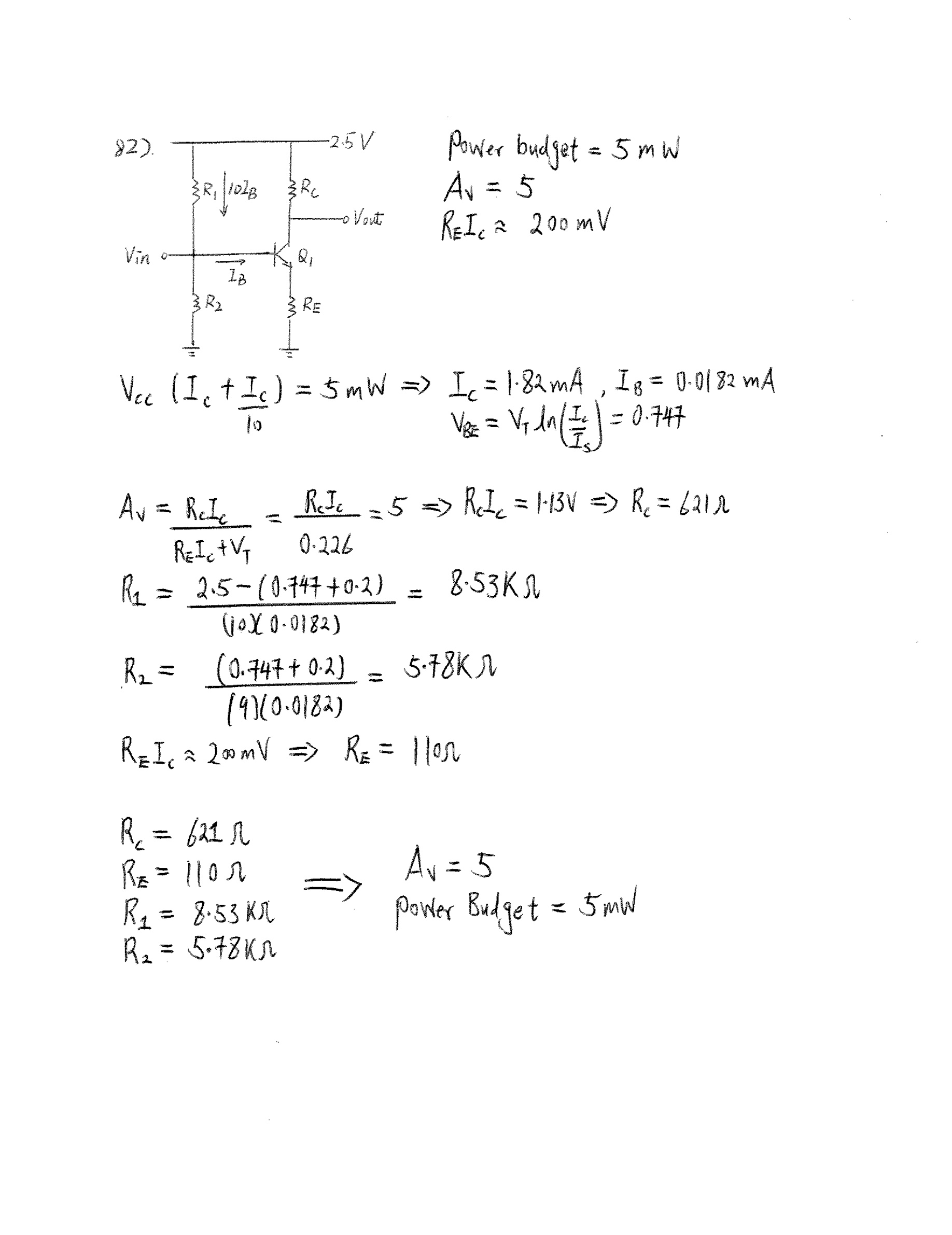
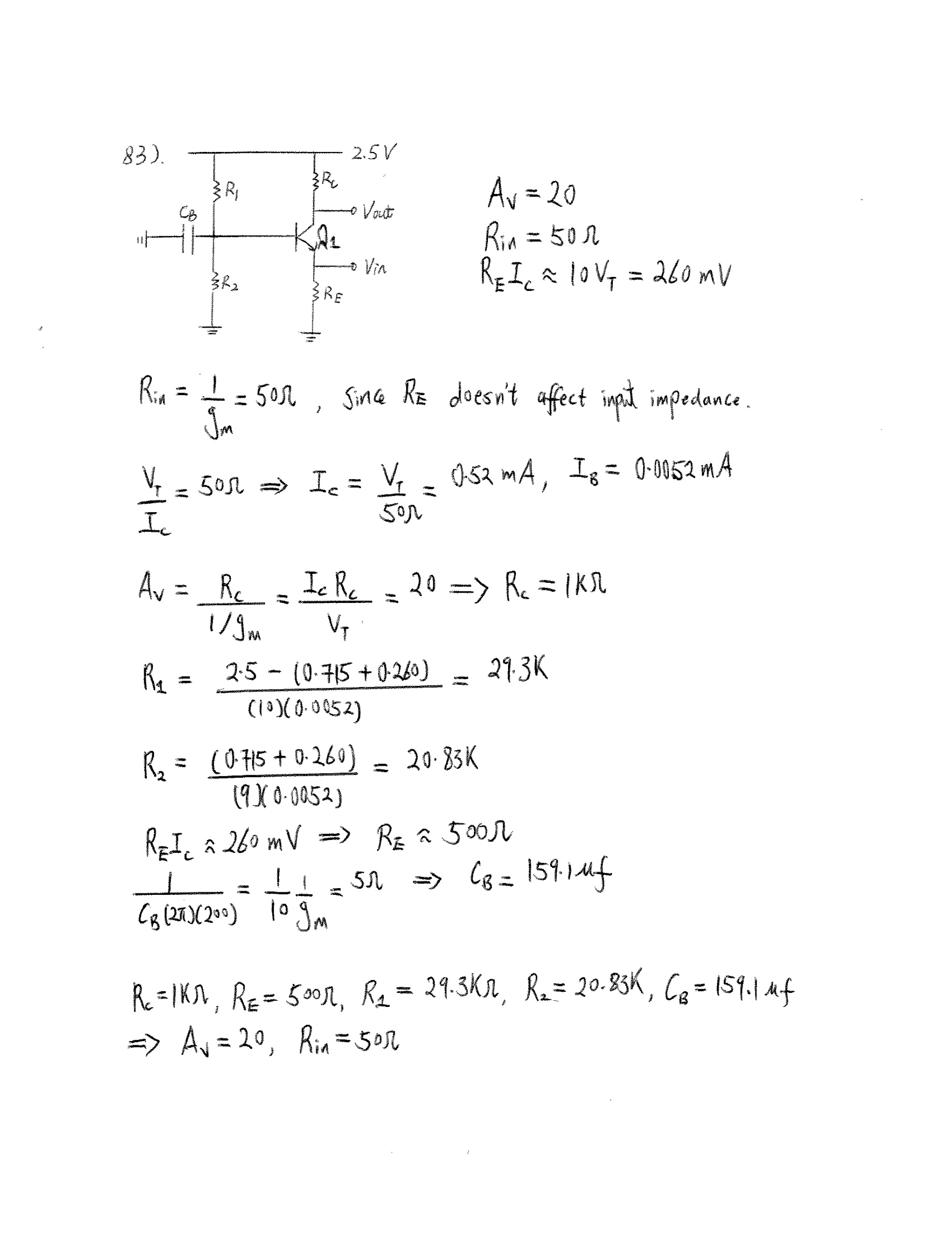
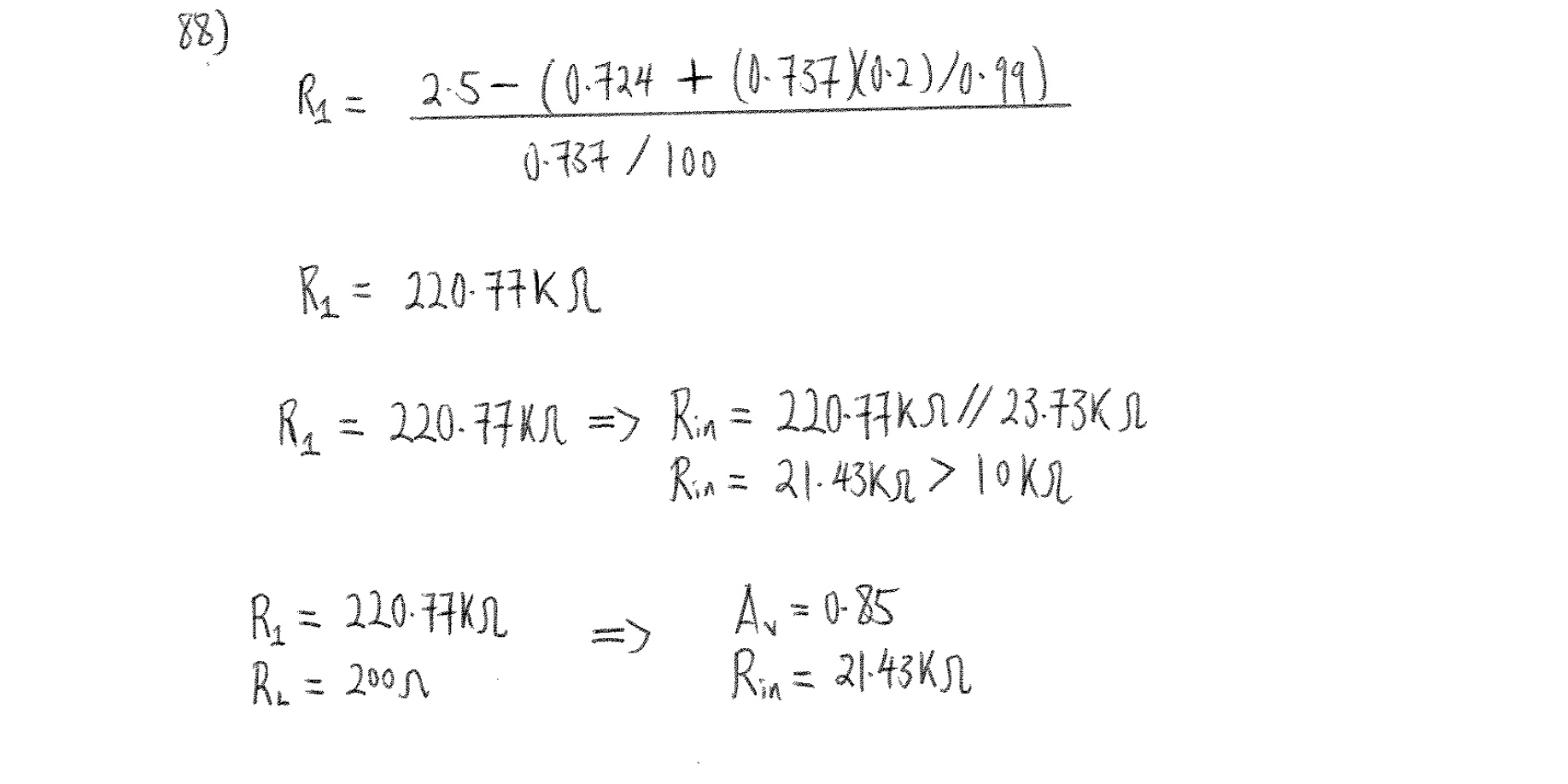
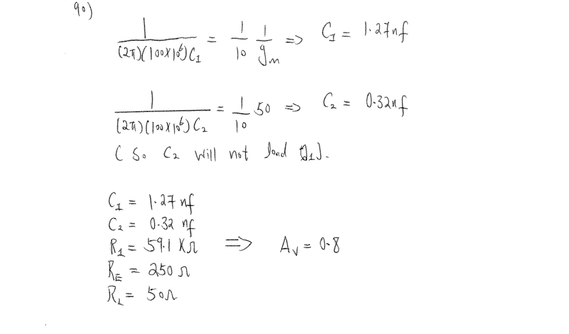
Ch.5 40~90



































































728x90
반응형
'Solutions > Razavi 전자회로' 카테고리의 다른 글
| Razavi - Fundamentals of Microelectronics Solutions | Ch.7 1~37 (0) | 2025.03.01 |
|---|---|
| Razavi - Fundamentals of Microelectronics Solutions | Ch.6 (0) | 2025.02.28 |
| Razavi 라자비 Fundamentals of Microelectronics Solutions 전자회로 솔루션 Ch.5 1~39 (0) | 2025.02.26 |
| Razavi - Fundamentals of Microelectronics Solutions | Ch.4 (0) | 2025.02.26 |
| Razavi - Fundamentals of Microelectronics Solutions | Ch.3 (0) | 2025.02.26 |