Solutions/Griffiths 기초전자기학

전자기학 Griffiths - Introduction to Electrodynamics Solutions | Ch.9

도엔 2025. 3. 8. 17:36
728x90

Griffiths - Introduction to Electrodynamics 3ed Solutions
그리피스 기초전자기학 제3판 솔루션
Ch.9

 

Griffiths ch9.pdf
0.33MB

 

 

728x90
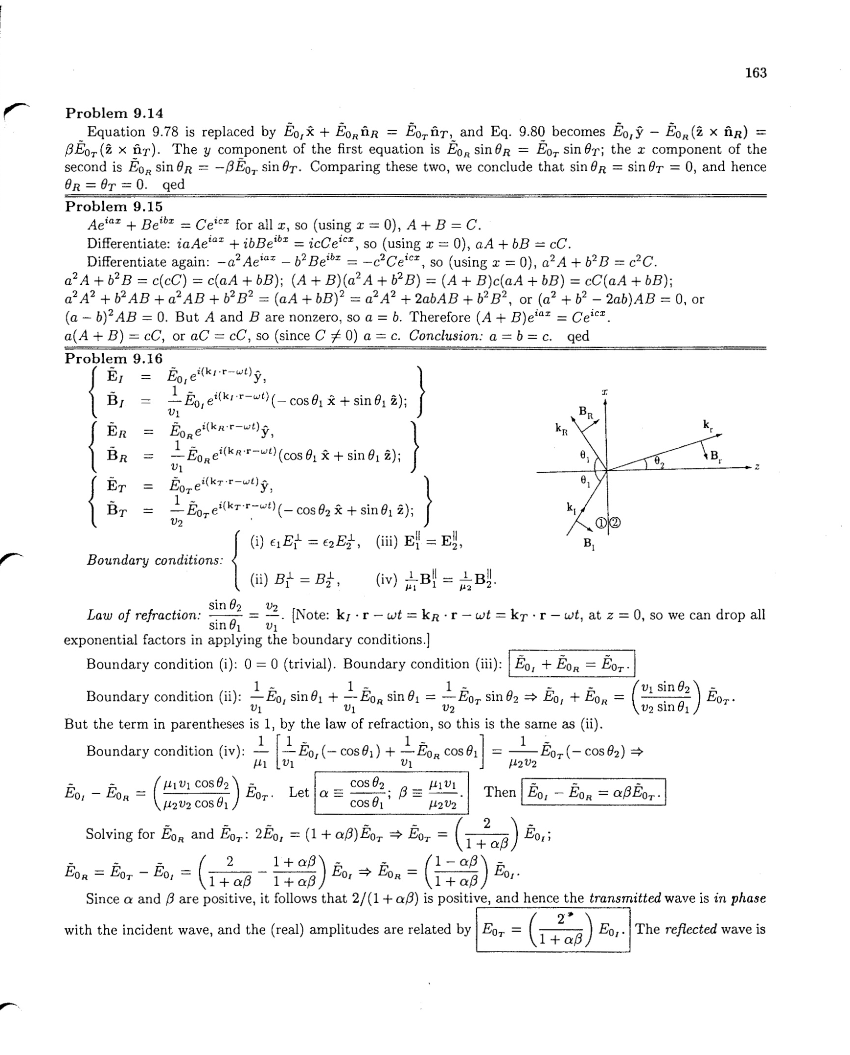
반응형